周一 ~  周五 9:00-17:00
				021-63537111
			*、水分控制的重要性
药品能够发挥药效和安全用药,离*开药品固有属性稳定性,稳定性的因素有很多,比如水分的控制;
①保持药材适当的水分***可以保持中药材的药效(如带挥发性叶类药材),
②保持药品*定的水分,能够增加药品稳定(如水合物,增加晶格稳定);**二有**于储存。合理的水分在贮藏保管中可防止生虫、霉变,避免有效成份分解、酶解变质等。
水分存在方式:游离水、结合水。
二、水分测定相关工作内容
(1)药典产品检查水分确认产品相关信息
1.产品类别信息:化学原料药(API)、化学药制剂、化学辅料、中药材、中药制剂; 
2.产品含量计算形式:A按干燥品计算、B按*水物计算、C按*水与*溶剂物计算; 
3.信息列比表: 
4.1烘干法:4.药学检测工作常用水分测定方法列比表: 
4.1.1适用产品:中药材、提取物、制剂 
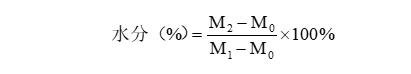
4.1.2检测操作要点: ①仪器:恒温干燥箱、电子天平、干燥器; ②取样量2-5g;样品直径或长度*超过3mm;平铺称量瓶厚度*超过5mm; ③100-105℃进行干燥5小时,放冷时间30分钟,再恒重干燥1小时处理至恒重; ④恒重标准:≤5mg。 
4.2甲苯法: 
4.2.1适用产品:中药材、提取物 
4.2.2检测操作要点: ①仪器:甲苯法仪器装置(清洁干燥); ②取样量2-5g置于500ml圆**烧瓶,加入200ml甲苯(除水/分子塞); ③关键调节温度使2滴/分钟; ④使用甲苯将器具壁上水合并。 
4.3费休容量滴定法: 
4.3.1适用产品:化学原料药(API)、化学液体辅料、化学药制剂 
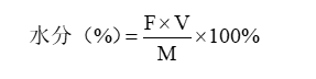
4.3.2检测操作要点: ①仪器:水分测定仪、电子天平; ②水分标定:称取纯化水10mg~30mg,平行标定3次,取3次标定值平均值为**标定值F;3次水分标定值RSD%*得过1.0%; ③控制滴定仪各个管路接口与空气接触;④样品测定:平行检测2次。 
4.4费休库伦滴定法: 
4.4.1适用产品:化学原料药(API)、化学液体辅料、化学药制剂 
4.4.2检测操作要点:①仪器:库伦水分滴定仪、电子天平; ②滴定杯*进行除水分(消耗电量); ③样品测定:平行检测2次。 
5.水分检测分析方法:费休氏-容量滴定法、费休氏-库伦滴定法、烘干法、减压干燥法、甲苯法、气相色谱法 
6.4减压干燥法:**用抽真空(抽气减压至2.67kPa(20mmHg))将表面水分隔离与内部水分形成浓度差,形成压差迅速干燥过程,适合 水分很难除尽,且含挥发性成分。 
6.5甲苯法:水分随甲苯馏出且水与甲苯*相溶。 
8.方法操作与计算: 


 




四、容量滴定法与库伦滴定法对比 
